
视频解析
文字解析
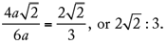
Geometry Per
Because Figure X is a square and the diagonals of a square are the same length, are perpendicular, and bisect each other, it follows that each triangular piece is a 45°−45°−90° triangle. Thus, the length of each side of the square is a, and the perimeter is 4a. The perimeter of the rectangle is 2(a + 2a) = 6a. It follows that the ratio of the perimeter of the square to the perimeter of the rectangle is

GMAT会员
- 【OG18-P680-668题】In a review of 2,000 studies of human behavior that date back to the 1940s, two Swiss psychologists, declaring that since most of the studies had failed to control for such variables as social class and family size, none could be taken seriously.
- 【OG18-P680-671题】Manufacturers rate batteries in watt-hours; if they rate the watt-hour higher, the longer the battery can be expected to last.
- 【OG18-P680-672题】At the end of the 1930s, Duke Ellington was looking for a composer to assist him-someone not only who could arrange music for his successful big band, but mirroring his eccentric writing style as well in order to finish the many pieces he had started but never completed.
- 【OG20-P569-634题】Snowmaking machines work by spraying a mist that freezes immediately on contact with cold air. Because the sudden freezing kills bacteria, QuickFreeze is planning to market a wastewater purification system that works on the same principle. The process works only when temperatures are cold, however, so municipalities using it will still need to maintain a conventional system. Which of the following, if true, provides the strongest grounds for a prediction that municipalities will buy QuickFreeze's purification system despite the need to maintain a conventional purification system as well?
- 【OG20-P147-8题】(12 -13 )+(13 -14 )+(14 -15 )+(15 -16 )=

添加官方小助手微信
了解更多GMAT考试与咨询